Omezený provoz 21.–22. 5.
Vážení zákazníci, z provozních důvodů bude náš e-shop ve dnech 21. a 22. května nedostupný. Od 23. května jsme opět plně k dispozici. Děkujeme za pochopení.
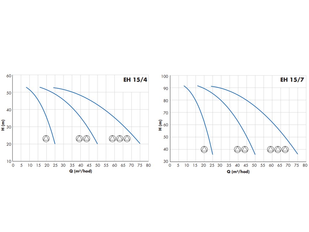
Automatická tlaková stanice ATS PUMPA 3 EH 15/4 TE 400V, provedení s frekvenčními měniči PUMPA DRIVE ZB00064935
Kód: 50804Detailní popis produktu
Provedení
Automatická tlaková stanice obsahuje 3 paralelně zapojená horizontální nerezová odstředivá čerpadla. Každé čerpadlo je vybaveno frekvenčním měničem, který je umístěn na motoru. Konstrukční součásti, které jsou v kontaktu s čerpanou kapalinou, jsou vyrobeny z korozivzdorné oceli AISI 304.
- Prostorově úsporné a kompaktní provedení
- Jednoduché a spolehlivé řešení
- Nerezové odstředivé čerpadlo
- Široká oblast použití
- Atest na pitnou vodu
Výhody
- zajištění potřebného množství vody při stálém tlaku
- frekvenční měniče zabezpečují kompletní ochranu a řízení ATS
- prostorově úsporné a kompaktní provedení
- ATS je vybavena jedním výstupním relé, které je možné využít k sledování poruchy pro každé čerpadlo
- provozní stav automatické tlakové stanice je zobrazován na displeji frekvenčního měniče
- pomocí kódových stavů
- na displeji frekvenčních měničů je možné zobrazení nastaveného tlaku, frekvence, proudu a aktuálního tlaku
Doplňkové parametry
| Kategorie: | Automatické tlakové stanice |
|---|---|
| Záruka: | 24 |
| Hmotnost: | 30 kg |
| EAN: | 8596455035558 |
| Maximální průtok (l/min): | 1 200 |
| Maximální výtlak (m): | 57,90 |
| Vstupní napětí (V): | 3x400 |
| Jmenovitý výkon motoru - P2 (kW): | 3 |
| Sací hrdlo ("): | 3 |
| Frekvence (Hz): | 50 |
| Jmenovité proudy (A): | 3x5,7 |
| Jmenovité výkony motorů - P2 (kW): | 3x3 |
| Popis pro štítek: | ATS PUMPA 3 EH 15/4 TE PUMPA DRIVE |
| Výtlačné hrdlo ("): | 2 1/2 |
| Sací výška max. (m): | 8 |
| Atest na pitnou vodu: | ANO |
| Objem nádoby (l): | 3x24 |
| Jmenovitý proud (A): | 5,70 |
| Teplota média max. (°C): | 60 |
| Stupeň krytí (IP): | 55 |
| Ochrana proti chodu nasucho: | NE |
| Vlastní vypínač: | ANO |
| Regulace otáček: | ANO |
| Provedení čerpadla: | horizontální |
| Oběžné kolo materiál: | nerez |
| Zpětná klapka: | ANO |
| Výrobce: | PUMPA |
| EAN: | 8596455035558 |
| Recyklační poplatek: | 372 Kč |
Diskuze
Buďte první, kdo napíše příspěvek k této položce.
